Типовые расходы
- 1Внереализационные расходы, относимые на услуги гарантирующего поставщика, уменьшающие налогооблагаемую базу налога на прибыль (в области расчета сбытовых надбавок гарантирующих поставщиков электрической энергии)
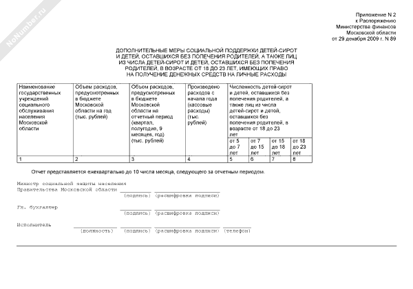
- 2Дополнительные меры социальной поддержки детей-сирот и детей, оставшихся без попечения родителей, а также лиц из числа детей-сирот и детей, оставшихся без попечения родителей, в возрасте от 18 до 23 лет, имеющих право на получение денежных средств на личные расходы из средств бюджета Московской области
- 3Инвестиционные расходы бюджета закрытого административно-территориального образования субъекта Российской Федерации в разрезе источников финансирования (форма № 7)
- 4Командировочные расходы (приложение к финансовому плану на 2010 год по расходованию субвенций на осуществление полномочий Российской Федерации по контролю качества образования, лицензированию и государственной аккредитации образовательных учреждений, надзору и контролю за соблюдением законодательства Российской Федерации в области образования)
- 5Командировочные расходы (приложение к расчету затрат на год по предприятию (организации))
- 6Командировочные расходы (приложение к отчету предприятия (организации) об использовании субсидии)
- 7Материалы, представляемые для рассмотрения регулирующим органом вопросов об утверждении (пересмотре) розничных цен на сжиженный газ, реализуемый населению для бытовых нужд. расходы на транспортировку сжиженного газа от оптовых поставщиков на газонаполнительные станции (таблица 8)
- 8Материалы, представляемые для рассмотрения регулирующим органом вопросов об утверждении (пересмотре) розничных цен на сжиженный газ, реализуемый населению для бытовых нужд. транспортные расходы по доставке сжиженного газа потребителям (таблица 10)
- 9Материалы, представляемые для рассмотрения регулирующим органом вопросов об утверждении (пересмотре) розничных цен на сжиженный газ, реализуемый населению для бытовых нужд. расходы на содержание аварийно-диспетчерской службы (таблица 11)
- 10Материалы, представляемые для рассмотрения регулирующим органом вопросов об утверждении (пересмотре) розничных цен на сжиженный газ, реализуемый населению для бытовых нужд. расходы на содержание объектов инфраструктуры, используемых для осуществления деятельности по снабжению населения сжиженным газом из групповых резервуарных установок (таблица 12)
- 11Основные расходы на расчетную (физическую) единицу работ. Форма № СМ5
- 12Планируемые расходы по коду операции сектора государственного управления Федеральной службы по экологическому, технологическому и атомному надзору
- 13Потери лесного хозяйства вследствие лесных пожаров и расходы по тушению лесных пожаров. Форма № 9-ОИП
- 14Прочие текущие расходы (приложение к расчету затрат на год по предприятию (организации))
- 15Прочие текущие расходы (приложение к отчету предприятия (организации) об использовании субсидии)
- 16Расходы бюджета города Москвы, осуществляемые с уровня административного округа
- 17Расходы в разрезе предметных статей на год за счет средств федерального бюджета и средств от разрешенных видов деятельности
- 18Расходы на закупку лекарственных средств для животных при проведении противоэпизоотических мероприятий в 2008–2010 годах
- 19Расходы на закупку мазута, дизельного топлива и ГСМ (приложение к расчету затрат на год по предприятию (организации))
- 20Расходы на закупку мазута и ГСМ (приложение к отчету предприятия (организации) об использовании субсидии)