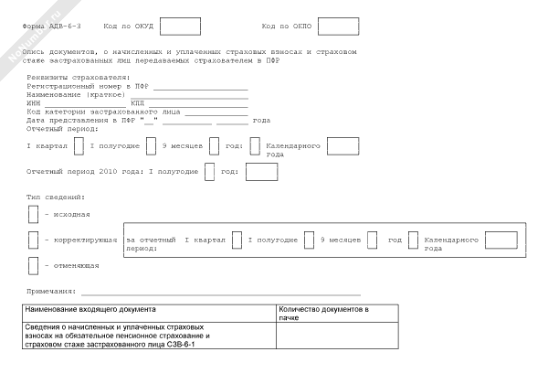
Опись документов, о начисленных и уплаченных страховых взносах и страховом стаже застрахованных лиц передаваемых страхователем в ПФР. Форма № АДВ-6-3 (рекомендуемый образец заполнения)
- Номер типовой формы АДВ-6-3
- Источник– Постановление Правления ПФ РФ от 31.07.2006 № 192п (редакция от 07.07.2010 № 166п)
- Разработчик– Пенсионный фонд Российской Федерации, 2022
- Количество страниц3 страницы
Скачать16 КБ
Опись доступна для бесплатного скачивания после просмотра небольшой рекламы.
Ссылка откроется в новом окне.
Опись представлена в форматах DOC и RTF, поэтому откроется в любых версиях Microsoft Word или Open Office.
Другие описи
Опись документов, составляющих транзитную декларацию
Опись документов, прилагаемых к грузовой таможенной декларации № 05600
Опись документов, необходимых для переоформления лицензии
Опись документов, имеющихся в деле
Опись документов, прилагаемых к грузовой таможенной декларации
Опись документов, входящих в дело
Опись документов, находящихся в деле гражданина


