Типовые планы
- 81Календарный план приема (сдачи) дел и должности лицами, отвечающими за хозяйственную деятельность соединения (воинской части)
- 82Календарный план (приложение к государственному контракту на выполнение в 2008 году научно-исследовательских и опытно-конструкторских работ по направлению «Проведение исследований в области экономики и управления рыбохозяйственным комплексом» для нужд Госкомрыболовства России)
- 83Календарный план подготовки командно-штабного учения
- 84Календарный план подготовки командно-штабного учения на объекте экономики
- 85Календарный план на выполнение работ по государственному контракту (приложение к типовому государственному контракту по разработке технических регламентов и других нормативных документов)
- 86Календарный план выполнения работ авторами для выполнения поручения издательства (приложение к авторскому договору заказа на создание мультимедиа-продукта)
- 87Календарный план (приложение к государственному контракту на выполнение работ в области технического регулирования)
- 88Календарный план проведения курсов повышения квалификации аудиторов
- 89Календарный план разработки научно-технической продукции (приложение к договору на создание научно-технической продукции)
- 90Календарный план работ (приложение к государственному контракту на выполнение НИОКР (поставку готовой научно-технической продукции по теме: «Проведение комплекса исследований и разработка научно обоснованных организационных, правовых, экономических и технических мероприятий, направленных на повышение безопасности маршрутных перевозок при использовании автобусов категории М2»))
- 91Календарный план работ (приложение к государственному контракту на выполнение НИОКР (поставку готовой научно-технической продукции по теме: «Научное исследование по выработке критериев технического состояния транспортных средств, допускаемых к эксплуатации по условиям безопасности дорожного движения»))
- 92Календарный план работ (приложение к государственному контракту на выполнение НИОКР (поставку готовой научно-технической продукции по теме: «Проведение научных исследований влияния различных конструкций дорожных ограждений на тяжесть последствий дорожно-транспортных происшествий»))
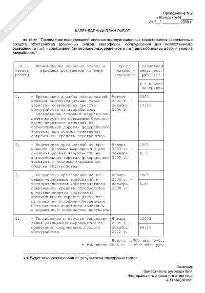
- 93Календарный план работ (приложение к государственному контракту на выполнение НИОКР (поставку готовой научно-технической продукции по теме: «Проведение исследований влияния эксплуатационных характеристик современных средств обустройства (дорожных знаков, светофоров, оборудования для искусственного освещения и т.п.) и содержания (антигололедных реагентов и т.п.) автомобильных дорог и улиц на аварийность»))
- 94Календарный план работ (приложение к государственному контракту на выполнение НИОКР (поставку готовой научно-технической продукции по теме: «Проведение исследований проблем гармонизации международных и национальных требований в части безопасности транспортных средств»))
- 95Календарный план работ (приложение к государственному контракту на выполнение НИОКР (поставку готовой научно-технической продукции по теме: «Исследование проблем влияния современных материалов, применяемых для нанесения дорожной разметки, на аварийность»))
- 96Календарный план работ (приложение к государственному контракту на выполнение НИОКР (поставку готовой научно-технической продукции по теме: «Проведение научных исследований с целью внесения изменений в Руководство по временному прекращению движения автобусов, троллейбусов и трамваев в неотложных случаях, вызванных стихийными явлениями или изменениями дорожно-климатических условий»))
- 97Календарный план работ (приложение к государственному контракту на выполнение НИОКР (поставку готовой научно-технической продукции по теме: «Научные исследования закономерностей изменения параметров безопасности транспортных средств в реальных условиях эксплуатации в течение их жизненного цикла»))
- 98Календарный план выполнения НИР (приложение к заявке на участие в конкурсе на право заключить государственный контракт на выполнение научно-исследовательской работы в интересах Министерства экономического развития Российской Федерации в 2008 году)
- 99Календарный план (приложение к государственному контракту на выполнение научно-исследовательской работы в интересах Министерства экономического развития Российской Федерации в 2008 году)
- 100Календарный план оказания информационно-консультационных услуг по поддержке и сопровождению комплекса задач по формированию и анализу отчетности проверок соблюдения валютного законодательства хозяйствующими субъектами на базе ПК «Контроль 3» (приложение к государственному контракту на оказание информационно-консультационных услуг по поддержке и сопровождению комплекса задач по формированию и анализу отчетности проверок соблюдения валютного законодательства хозяйствующими субъектами)